От чего зависит сопротивление резистора
Резисторы – функциональное назначение, закон Ома
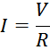
Резистор происходит от слова resisto – сопротивляюсь, то есть он как бы сопротивляется протекающему через него току. Физический смысл сопротивления заключается в том, что электрическое сопротивление R определяет силу проходящего через него тока I при постоянном приложенном напряжении V. Этот закон называется законом Ома:
Закон Ома можно трактовать и так – электрическое сопротивление резистора определяет величину напряжения на нем при постоянной величине протекающего через него тока:
Единица измерения электрического сопротивления – Ом. В честь баварца Георга Симона Ома.
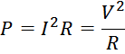
Тепловая мощность, выделяемая на резисторе при прохождении через него электрического тока равна:
Свойства резистора, предписываемые ему законом Ома определяют его функциональное назначение:
— токоограничительный и токозадающий элемент;
— в составе времязадающих RC-цепочек;
— в составе интегрирующих RC-цепочек и дифференцирующих RC-цепочек;
— в делителях напряжения;
— измеритель силы тока (низкоомный резистор – шунт тока);
— для подавления паразитных осцилляций в реактивных LC-контурах (пример – затворные резисторы MOSFET-транзисторов).
Условное обозначение резистора:
Рисунок R.1 — условное обозначение резистора.
Для большинства практических случаев используется диапазон сопротивлений 0,1 Ом – 10 МОм. Этот диапазон разбит на несколько рядов. Наиболее распространенным является ряд E24. Значения номиналов рядов приведены в таблице R.1.
Таблица R.1. Значения номиналов рядов.
| Ряды | Номиналы | |||||||||||
| E3 | 1,0 | 2,2 | ||||||||||
| E6 | 1,0 | 1,5 | 2,2 | |||||||||
| E12 | 1,0 | 1,2 | 1,5 | 1,8 | 2,2 | 2,7 | ||||||
| E24 | 1,0 | 1,1 | 1,2 | 1,3 | 1,5 | 1,6 | 1,8 | 2,0 | 2,2 | 2,4 | 2,7 | 3,0 |
| Ряды | Номиналы | |||||||||||
| E3 | 4,7 | |||||||||||
| E6 | 3,3 | 4,7 | 6,8 | |||||||||
| E12 | 3,3 | 3,9 | 4,7 | 5,6 | 6,8 | 8,2 | ||||||
| E24 | 3,3 | 3,6 | 3,9 | 4,3 | 4,7 | 5,1 | 5,6 | 6,2 | 6,8 | 7,5 | 8,2 | 9,1 |
Сопротивление последовательно соединенных резисторов равно сумме сопротивлений каждого из резисторов:
Сопротивление параллельно соединенных резисторов есть величина обратная сумме обратных величин сопротивлений каждого из резисторов:
Последовательное соединение используют для:
— увеличения суммарного сопротивления;
— увеличения рабочего напряжения прикладываемого к цепочке резисторов;
— увеличения мощности резисторной сборки, прежде всего в случаях работы с большими напряжениями.
— получения точного номинала сопротивления.
Параллельное соединение используют для:
— уменьшения суммарного сопротивления;
— увеличения мощности резисторной сборки, прежде всего в случаях работы с большими токами;
— снижения паразитной индуктивности;
— получения точного номинала сопротивления.
Типы резисторов, используемые в преобразовательной технике
В преобразовательной технике используются преимущественно постоянные резисторы общего назначения (выводные и SMD) и в ряде случаев используют специализированные безиндуктивные силовые резисторы. Кроме этого, для осуществления регулировки и настройки работы тех или иных цепей применяются подстроечные и переменные резисторы.
Выводные резисторы
Выводные резисторы имеют корпус с двумя проволочными выводами. Наиболее распространенными типами резисторов являются металлооксидные, углеродные и проволочные. Отвод тепла осуществляется главным образом за счет естественного конвективного обмена в воздушной среде. Существует несколько наиболее распространенных типов выводных резисторов – металлооксидные, углеродные, проволочные.
Металлооксидные постоянные резисторы являются аналогами отечественной серии сопротивлений С2-23. Предназначены для работы в цепях постоянного, переменного и импульсного тока.
Углеродные постоянные резисторы С1-4 имеют углеродистый проводящий слой. Предназначены для работы в цепях постоянного, переменного и импульсного тока.
Проволочные резисторы выполняются из проволоки сплавов с высоким удельным сопротивлением намотанной на какой-либо каркас. Проволочные резисторы (серии KNP) имеют высокую теплоотдачу, устойчивость к пульсациям. Проволочные резисторы в керамическом корпусе (SQP) имеют повышенную жаро- и огнестойкость.
Существуют фольговые резисторы которые выполняются из специального резистивного сплава, а величина сопротивления подстраивается путем его травления через фотошаблон. Имеют низкий ТКС, высокую точность, стабильность параметров, малую индуктивность. Выпускаются как выводные так и в SMD-корпусах.
SMD резисторы
Резисторы SMD (Surface Mounted Device) предназначены для пайки методом поверхностного монтажа. Имеют существенно меньшие размеры. Конструктивно представляют собой керамическую подложку с одной стороны которой нанесет токопроводящий слой, а с торцов выполнены SMD-контакты. Отвод тепла осуществляется главным образом за счет теплопередачи плате.
Силовые резисторы
В силовой электронике для измерения токов большой величины (десятки-сотни ампер), протекающих в цепях инверторов и преобразователей часто используются резистивные токовые шунты – специализированные резисторы, обладающие минимальной индуктивностью и, как правило, предусматривающие крепление к радиатору для отвода выделяемой мощности [Резисторы для силовой электроники. А. Савельев. Силовая электроника №1, 2005]. Минимизация индуктивности особенно важна при измерении быстро изменяющихся токов, поскольку падение напряжения пропорционально скорости роста тока.
Примерами силовых безиндуктивных резисторов является линейка резисторов компании CADDOCK – MPxx, MPxxx охватывающих диапазон сопротивлений от 0,02 Ом до 100 кОм. Силовые резисторы упакованы в стандартные корпуса и имеют высокую мощность TO-126 (15 Вт), TO220 (30 Вт), TO247 (100 Вт) [www.caddock.com]. Типоразмеры корпусов и технические параметры представлены в соответствующих справочных листках (datasheet) представленных на указанном сайте.
Специально для целей использования в качестве датчиков тока используют резисторы серии SR имеющие диапазон сопротивлений от 5 мОм до 1 Ом при рассеиваемой мощности до 1 Вт (SR10) и до 2 Вт (SR20). Существуют силовые резисторы, предназначенные для поверхностного монтажа – (CC и CD серии).
Силовые резисторы выпускает компания Vishay — резисторы серий LTO и RTO в стандартных корпусах TO220 и TO247, а также резисторы большой мощности серии RTOP в корпусе SOT-227.
Для рассеивания выделяемой омической мощности возможно использование внешнего радиатора. Существуют резисторы большой мощности 50 Вт и более уже имеющие радиатор из алюминиевого профиля.
Паразитная индуктивность резисторов
На высоких частотах резистор начинают проявляться реактивные паразитные параметры резисторов, прежде всего – паразитная индуктивность. Её величина определяется конструктивным исполнением резистора. Обобщенная эквивалентная схема резистора на высоких частотах представлена на рисунке R.2.
Рисунок R.2 — Обобщенная эквивалентная схема резистора на высоких частотах
В импульсных режимах работы схем паразитная индуктивность резисторов может оказывать существенное влияние. Наименьшую индуктивность имеют SMD-резисторы, при этом её величина определяется типоразмером – с ростом габаритов величина индуктивности возрастает. Выводные резисторы имеют большее значение индуктивности, при этом её величина определяется конструктивными особенностями резистора. Так резисторы с малым сопротивлением – до 1-10 кОм имеют однородное покрытие поверхности керамического цилиндра проводящим материалом, а резисторы с большим сопротивлением имеют насечку, и таким образом проводящий слой расположен по спирали, что существенно увеличивает индуктивность резистора. Значительно большую индуктивность имеют проволочные резисторы, фактически представляющие собой катушки провода из материала с высоким удельным электрическим сопротивлением.
Резисторы в прецизионных схемах
В прецизионных, измерительных и усилительных схемах кроме величины сопротивления, мощности и точности номинала к резисторам предъявляются требования к таким параметрам как:
— температурный коэффициент сопротивления (ТКС), измеряется в 1/°С или ppm/°C;
— уровень шумов, измеряется в мкв/В или в дБ.
В таблице R.2 представлены сводные данные об уровне токового шума резисторов различных технологий изготовления [Десять причин выбрать фольговые резисторы Vishay для вашего проекта. А. Калачев, Новости Электроники №6, 2011]
Таблица R.2. Уровни токового шума резисторов различных технологий
| Технология | Шум, дБ | Примечание |
| Металло-углеродные | -12…6 | Сильное влияние контактов между металлами и углеродным наполнителем; зависимость от температуры, механических напряжений, влажности, времени эксплуатации |
| Тонкопленочные | -18…-10 | Источник шума – контактные явления между частицами оксида рутения в керамическом наполнителе |
| Металлопленочные | -32…-16 | Спиральный путь тока по резистору, влияние неровностей на границах резистивной пленки вследствие механической или лазерной обработки |
| Проволочные | -38 | Благодаря сплошному металлическому резистивному слою устранены контактные эффекты в структуре материала, но из-за индуктивного характера полного сопротивления возможно увеличение шумовых пиков на второй-третьей гармоники сигнала |
| Фольговые | -40 | Ровные границы благодаря фотолитографии, сниженное влияние паразитных емкостей и индуктивностей за счет меандрового пути тока по плоскому резистивному слою |
Шумы и влияние ТКС ощущаются и негативно сказываются в прецизионных схемах с высоким коэффициентом усиления.
Расчет потерь мощности на активном сопротивлении при различных формах импульсов тока
Важным практическим моментом является расчет потерь мощности на активном сопротивлении. Активное сопротивление есть не только у резисторов, но и у большого числа различных элементов силовой электроники: омическое сопротивление индуктивностей и обмоток трансформаторов, омическое сопротивление канала MOSFET-транзисторов в открытом состоянии, эквивалентное последовательное сопротивление конденсаторов (ESR).
Для расчета выделяемой на активном сопротивлении мощности используется формула:
R – величина активного сопротивления;
Irms – среднеквадратичное значение тока.
Среднеквадратичное значение тока зависит от формы импульсов тока.
В общем случае выражение для среднеквадратичного значения тока имеет вид:
Чтобы не выводить каждый раз интегралы приведем несколько справочных выражений:
1. Импульсы прямоугольной формы (рисунок R.3).
Рисунок R.3. К расчету среднеквадратичного значения импульсов прямоугольной формы
Для импульсов прямоугольной формы среднеквадратичное значение равно [Marian K. Kazimierczuk. Pulse-width Modulated DC–DC Power Converters. John Wiley & Sons. 2008. 782 p. – 43 стр., Dokic B.L., Blanusa B. Power Electronics: Converters and Regulators. Springer Cham Heidelberg New York Dordrecht London, 2015. XVIII, 598 p. – 290 c. – 6 стр.]:
Imax – максимальное значение (амплитуда импульсов);
ti – длительность импульса;
T – период повторения импульсов.
Или переходя к коэффициенту заполнения q:
2. Треугольные импульсы с одним фронтом (рисунок R.4).
Рисунок R.4. К расчету среднеквадратичного значения треугольных импульсов с одним фронтом
Для импульсов треугольной формы с одним фронтом среднеквадратичное значение равно [Marian K. Kazimierczuk. Pulse-width Modulated DC–DC Power Converters. John Wiley & Sons. 2008. 782 p. – 61 стр.]:
Imax – максимальное значение (амплитуда импульсов);
ti – длительность импульса;
T – период повторения импульсов.
Или переходя к коэффициенту заполнения q:
3. Треугольные импульсы с фронтом и спадом (рисунок R.5).
Рисунок R.5. К расчету среднеквадратичного значения треугольных импульсов с фронтом и спадом
Для импульсов треугольной формы с фронтом и спадом среднеквадратичное значение равно [Marian K. Kazimierczuk. Pulse-width Modulated DC–DC Power Converters. John Wiley & Sons. 2008. 782 p. – 62 стр.]:
Imax – максимальное значение (амплитуда импульсов);
ti – длительность переднего фронта импульса (рост);
tl – длительность заднего фронта импульса (спад).
T – период повторения импульсов.
4. Треугольные импульсы с постоянной составляющей (рисунок R.6).
Рисунок R.6. К расчету среднеквадратичного значения треугольных импульсов с постоянной составляющей
Для формы тока соответствующей наложению треугольных импульсов на постоянную составляющую среднеквадратичное значение равно [Marian K. Kazimierczuk. Pulse-width Modulated DC–DC Power Converters. John Wiley & Sons. 2008. 782 p. – 45 стр.]:
Iavg – среднее значение;
ΔIpulse – размах импульсов (разница между минимальным и максимальным значениями).
Существует еще и другое соотношение расчета среднеквадратичного значения тока через минимальное и максимальное значения [Marian K. Kazimierczuk. Pulse-width Modulated DC–DC Power Converters. John Wiley & Sons. 2008. 782 p. – 45 стр.]:
Imax – максимальное значение;
Imin – минимальное значение;
5. Трапецеидальные импульсы (рисунок R.7).
Рисунок R.7. К расчету среднеквадратичного значения трапецеидальных импульсов
Для формы тока соответствующей импульсам трапецеидальной формы среднеквадратичное значение равно [Marian K. Kazimierczuk. Pulse-width Modulated DC–DC Power Converters. John Wiley & Sons. 2008. 782 p. – 45 стр., Transformers and Inductors for Power Electronics: Theory, Design and Applications. John Wiley & Sons. 2013. 370 p. – 77 стр.]:
Iavg_ti – среднее значение в течение импульса ti;
ΔIpulse – размах импульсов (разница между минимальным и максимальным значениями);
T – период повторения импульсов.
Существует еще и другое соотношение расчета среднеквадратичного значения трапецеидальных импульсов тока через минимальное и максимальное значения [Marian K. Kazimierczuk. Pulse-width Modulated DC–DC Power Converters. John Wiley & Sons. 2008. 782 p. – 45 стр.]:
Imax – максимальное значение;
Imin – минимальное значение;
Корпуса и габаритные размеры резисторов
Выводные резисторы
Рисунок R.8 — Выводной резистор с габаритными размерами
Таблица R.3. Типоразмеры выводных резисторов
| Тип | L (мм) | D (мм ) | l (мм ) | d (мм ) | Максимальное рабочее напряжение, В | Максимальное перегрузочное напряжение, В | Номинальная мощность, Вт |
| С2-23-0,062 | 3,2 | 1,5 | 28 | 0,48 | 200 | — | 0,0625 |
| С2-23-0,125 mini | 3,2 | 1,5 | 28 | 0,48 | 250 | — | 0,1 |
| С2-23-0,125 | 6,0 | 2,3 | 28 | 0.60 | 250 | — | 0,125 |
| С2-23-0,25 mini | 3,2 | 1,5 | 28 | 0,48 | 250 | — | 0,25 |
| С2-23-0,25 | 6,0 | 2,3 | 28 | 0.60 | 250 | — | 0,33 |
| С2-23-0,5 | 9,0 | 3,2 | 28 | 0.60 | 350 | — | 0,75 |
| С2-23-1,0 | 11,0 | 4,5 | 35 | 0.60 | 500 | — | 1 |
| С2-23-2,0 | 15,0 | 5,0 | 35 | 0.60 | 500 | — | 2 |
SMD-резисторы
Рисунок R.9 — SMD-резистор с габаритными размерами
Таблица R.4. Типоразмеры SMD-резисторов
| L (мм) | W (мм ) | H (мм ) | D (мм ) | T (мм ) | Максимальное рабочее напряжение, В | Максимальное перегрузочное напряжение, В | Номинальная мощность, Вт | ||
| 0402 | 1005 | 1.0±0.1 | 0.5±0.05 | 0.35±0.05 | 0.25±0.1 | 0.2±0.1 | 25 | 50 | 0,0625 |
| 0603 | 1608 | 1.6±0.1 | 0.85±0.1 | 0.45±0.05 | 0.3±0.2 | 0.3±0.2 | 50 | 100 | 0,1 |
| 0805 | 2012 | 2.1±0.1 | 1.3±0.1 | 0.5±0.05 | 0.4±0.2 | 0.4±0.2 | 150 | 300 | 0,125 |
| 1206 | 3216 | 3.1±0.1 | 1.6±0.1 | 0.55±0.05 | 0.5±0.25 | 0.5±0.25 | 200 | 400 | 0,25 |
| 1210 | 3225 | 3.1±0.1 | 2.6±0.1 | 0.55±0.05 | 0.4±0.2 | 0.5±0.25 | 200 | 400 | 0,33 |
| 2010 | 5025 | 5.0±0.1 | 2.5±0.1 | 0.55±0.05 | 0.4±0.2 | 0.6±0.25 | 200 | 400 | 0,75 |
| 2512 | 6332 | 6.35±0.1 | 3.2±0.1 | 0.55±0.05 | 0.4±0.2 | 0.6±0.25 | 200 | 400 | 1 |
Резисторы с допуском 2%, 5% и 10% всех типоразмеров маркируются тремя цифрами, первые две из которых обозначают номинал резистора без множителя, а последняя — показатель степени по основанию 10 для определения множителя. Например: 123 – 12* 10^3 =12000 Ом =12 кОм. Часто встречаются чип резисторы с обозначением 0, это резистор нулевого сопротивления или попросту перемычка.
Что такое резистор и как работает в электротехнике
Микроэлектроника
Если говорить простыми словами, то резистор предназначен для ограничения тока в электрических цепях. Также он выполняет функцию сопротивления, поскольку не содержит активных составляющих в своей конструкции. То есть, относится к пассивным радиокомпонентам.
Читайте в новой статье: вах стабилитрона .
Что такое резистор?
Резистор – это самый элементарный радиокомпонент. Многие радиолюбители хотят узнать:
- что делает резистор в цепи;
- для чего он нужен;
- за что отвечает.
Основным параметром любого полупроводникового прибора является сопротивление, которое измеряется в Омах. Но как известно: где есть сопротивление, там обязательно будет нагрев.
Принцип работы резистора заключается в ограничении тока. Оно происходит за счет того, что на резистор рассеивается часть начальной мощности в виде тепла.
Чтобы пользоваться этими радиоэлементами, надо понять, для чего нужны резисторы и что они делают. Полупроводниковый прибор нужен, чтобы обеспечить необходимые силу тока или напряжение на тех элементах, которые рассчитаны на их определенное значение.
Отсюда вытекает и второй параметр полупроводникового прибора – мощность. Иногда она указывается на схематических изображениях. В зависимости от стандартов обозначение может выглядеть по-разному. Но существует много таблиц с маркировкой и обозначением мощности, которую можно найти в Сети.
Третий параметр – это погрешность, или допуск. Она показывает, на сколько процентов реальное сопротивление устройства может отклоняться от заявленного значения. Например, если взять стандартный прибор со значением сопротивления в 100 Ом и допуском в 10% и проверить данный параметр с помощью довольно высокоточного мультиметра, то можно увидеть небольшую погрешность. И, судя по маркировке прибора, она не может быть более 10%.
Теперь рассмотрим другой полупроводниковый элемент с сопротивлением также 100 Ом и заявленной погрешностью всего 1%. Измерив его мультиметром, увидим, что этот прибор гораздо точнее предыдущего образца.
Есть полупроводниковые устройства с погрешностью, составляющей доли процента. Их называют прецизионными или высокоточными резисторами. Они применяются в сверхточном оборудовании. Например, в эталонных источниках напряжения и тока, измерительных оборудованиях, медицинской и военной технике и так далее.
Изучив, что такое резисторы, можно рассмотреть, какие виды резисторов бывают и как работает электрическая цепь с их присутствием.
Виды приборов и принцип действия
Классические полупроводниковые устройства бывают двух типов:
- постоянные;
- переменные.
Постоянные
Самый простой постоянный прибор можно сделать из обычной проволоки. Такой элемент называется проволочным.
Он имеет следующие преимущества:
- Его можно сделать самому. Для этого необходимо взять нихромовую проволоку нужной длины и для удобства намотать на любой диэлектрик.
- Проволочные полупроводники имеют большую рассеиваемую мощность.
Но у данных полупроводниковых элементов имеется и недостаток, из-за которого они редко применяются. Это – габариты.
Следующий вид постоянных резисторов – металлопленочные. Они представляют собой керамическую трубочку, на которую нанесен слой специального сплава очень маленькой толщины. Такие резисторы часто используются в интегральных микросхемах. Они представляют собой спираль, нанесенную на диэлектрическую подложку.
ВАЖНО: Постоянные радиоэлементы никогда не меняют свое сопротивление.
Переменные
Переменные резисторы могут менять сопротивление в зависимости от температуры, напряжения, освещенности или механическим путем.
Например, так происходит у обычного подстроечного устройства, где этот параметр можно менять вручную – движением ползунка.
Термисторы
Терморезисторы или термисторы – это полупроводниковые приборы, которые меняют сопротивление в зависимости от температуры. У термистора с ростом температуры уменьшается сопротивление.
Эти устройства применяются как термокомпенсирующие элементы, а также в виде датчиков температуры. Основное применение данных полупроводниковых приборов – ограничение пусковых токов. Например, в двигателе или цепи заряда емкости конденсатора.
Варисторы
Варисторы – устройства, изменяющие сопротивление применительно к приложенному напряжению. Эти приборы принимают на себя все высоковольтные импульсы. Благодаря чему детали не выходят из строя и сохраняются в исправном состоянии.
Варисторы можно встретить на различных платах в электронных приборах. Иными словами, это – резисторы для защиты схемы. Они размещены там, где находится импульсный источник питания.
Фоторезисторы
Фоторезисторами называются приборы, у которых изменение величины сопротивления зависит от освещенности. Чем больше света падает на фоторезистор, тем меньше становится его сопротивление.
Фоторезисторы используются в датчиках осветительных приборов.
Среди них выделяются фотоэкспонометры, используемые в фотографии и киносъемке. Фоторезисторы также могут управлять устройствами, в которых требуется автоматическое включение освещения в темноте и выключение на свету. Например, в охранных системах и на различных конвейерах.
Тензорезисторы
Что касается практического применения: тензорезисторы вызывают к себе очень большой интерес. Это устройство, которое при удлинении или механическом взаимодействии с другими телами может менять сопротивление.
Своего рода резистор для измерения деформации элементов, которые с ним механически связаны. При растягивании проводящих частей тензорезистора их длина увеличивается, а поперечное сечение – уменьшается. В связи с этим увеличивается и само сопротивление прибора.
Как измерить сопротивление прибора?
Если вы занимаетесь электроникой, вам нужно подобрать резистор определенного номинала. Кольца или полосы у стандартных резисторов показывают все что, вам необходимо знать.
Как правило, в стандартной четырехполосной маркировке цвет последнего кольца показывает погрешность резистора. Два первых кольца – сопротивление, а третье кольцо – множитель. Каждый цвет полоски – это шифр в виде чисел от «0» до «9».
Чтобы измерить сопротивление радиокомпонента, используется мультиметр.
На его шкале выбирается предел, на который рассчитан резистор. Если подключить щупы, и прибор покажет «0», это означает, что выбранный предел является слишком большим для данной радиодетали. Для выбора нового предела нужно перевести галетник в нижнее положение. Таким образом, передвигая галетник, можно определить номинальное значение сопротивления радиоэлектронного элемента.
Последовательное и параллельное соединение резисторов
Резисторы, как и другие пассивные компоненты, можно подключать последовательно и параллельно. В случае их последовательного соединения сопротивление суммируется. Таким образом: общее сопротивление цепочки резисторов равно сумме сопротивлений всех задействованных элементов. Количество последовательно подключенных радиодеталей может быть любым. А вот общее сопротивление всегда будет больше этого параметра любого отдельно взятого резистора, задействованного в цепи.
При параллельном же соединении происходит обратное. Складываются величины, обратно пропорциональные сопротивлению. Например, если 3 резистора по 100 Ом соединить параллельно, то общее сопротивление цепи, исходя из формулы, составит около 33 Ом. Эта формула может быть также задействована и в случае параллельного соединения радиодеталей разного сопротивления.
Стоит также указать: при параллельном соединении радиоэлементов возрастает их мощность в зависимости от количества. Возьмем те же три устройства по 100 Ом, где мощность каждого отдельно взятого элемента составляет 0,25 Ватт. В случае параллельного соединения она суммируется и составляет уже 0,75 Ватт.
Такой маневр применяется очень часто – особенно если под рукой нет мощного радиокомпонента с нужным сопротивлением.
Параллельно можно подключать сколько угодно резисторов.
При этом общее сопротивление будет всегда меньше этой величины любого из использованных радиодеталей.
Как работают
Резисторы широко используются в электротехнике. Способность прибора ограничивать ток, протекающий в цепи (за счет того, что благодаря сопротивлению все лишнее превращается в тепло) можно использовать и для стабилизации напряжения. Например, при последовательном подключении радиоэлемента со светодиодом, последний может работать в той цепи, которая используется. Если понизится напряжение, то светодиод (благодаря электронному устройству) не перегорит.
Если посмотреть на схему параметрического или линейного стабилизатора напряжения, можно видеть, что в этой схеме полупроводниковое устройство ограничивает ток. После него подключен стабилитрон. Он задает фиксированное значение напряжения, например, 12 вольт. Если полупроводниковый элемент убрать из цепи, то стабилитрон сгорит – поскольку не рассчитан на большие токи. А резистор как раз обеспечивает нужный ток для нормальной работы стабилитрона.
Дайте ответ пожалуйста!
Сопротивление резистора — его основная характеристика. Основной единицей электрического сопротивления является ом (Ом). На практике используются также производные единицы — килоом (кОм), мегаом (МОм), гигаом (ГОм)
Что влияет на сопротивление резистора?
Степень сопротивления материала зависит от нескольких факторов: тип материала, его ширина, длина и температура. Все материалы обладают некоторым сопротивлением, но некоторые материалы сопротивляются прохождению электрического тока в большей или меньшей степени, чем другие материалы.
Какие четыре фактора влияют на сопротивление и сопротивление?
Сопротивление — это свойство материала, ограничивающее поток электронов. На сопротивление влияют четыре фактора: Температура, длина провода, площадь поперечного сечения провода и характер материала..
От каких факторов зависит устойчивость?
- Температура проводника.
- Площадь поперечного сечения проводника.
- Длина проводника.
- Тип материала проводника.
Почему сопротивление уменьшается с увеличением площади?
Когда площадь поперечного сечения увеличивается, пространство для перемещения электронов увеличивается (объяснение просто). Следовательно, меньше препятствий для течения. Поэтому когда площадь увеличивается сопротивление уменьшается.
У более толстого провода большее сопротивление?
Движущиеся электроны могут сталкиваться с ионами металла. Это затрудняет прохождение тока и вызывает сопротивление. . Сопротивление тонкой проволоки больше, чем сопротивление толстой. потому что в тонкой проволоке меньше электронов, переносящих ток.
Влияет ли сопротивление на напряжение?
Закон Ома гласит, что электрический ток (I), протекающий в цепи, пропорционален напряжению (В) и обратно пропорционально сопротивлению (R). . Точно так же увеличение сопротивления цепи снизит ток, если напряжение не изменится.
Что происходит с напряжением при увеличении сопротивления?
Ток прямо пропорционален напряжению и обратно пропорционален сопротивлению. Это означает, что увеличение напряжения приведет к увеличению тока, при увеличении сопротивления ток будет уменьшаться.
Влияет ли масса на сопротивление?
Для тяжелых предметов сопротивление воздуха невелико именно потому, что это не зависит от массы. . В частности, изменение движения из-за сопротивления воздуха тем больше, чем меньше масса.
Что такое уравнение сопротивления?
V — разность потенциалов в вольтах, V. I — ток в амперах (амперах), A. R — сопротивление в омах, Ом. Уравнение можно изменить, чтобы найти сопротивление: R = V ÷ I Вопрос.
Сопротивление зависит от температуры?
Поскольку сопротивление некоторого проводника, такого как кусок провода, зависит от столкновений внутри самого провода, сопротивление зависит от температуры. С повышением температуры сопротивление провода увеличивается, так как столкновения внутри провода увеличиваются и «замедляют» протекание тока.
Сопротивление прямо пропорционально длине?
Сопротивление провода прямо пропорционально его длине и обратно пропорциональна его площади поперечного сечения. Сопротивление также зависит от материала проводника. . Сопротивление проводника или элемента схемы обычно увеличивается с повышением температуры.
От каких факторов зависит сопротивление и удельное сопротивление?
Сопротивление проводника зависит от длины проводника и площади поперечного сечения проводника, удельного сопротивления и температура. Удельное сопротивление — это материалистическое свойство, зависящее от материала и температуры проводника.




